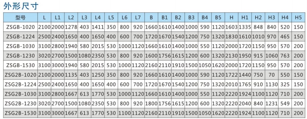
所属分类:振动筛系列
Product introduction
产品介绍
产品简介
ZSG系列直线振动筛是一种新型筛分设备,主要用于冶金、矿山、煤炭、建材、电力、化工等行业,尤以冶金行业用途较为广泛,是高炉槽下、焦化厂、选矿厂常用的筛分设备,该机采用新型节能振动电机或激振器作振动源,橡胶弹簧支撑并隔振,具有处理量大、筛分效率高、筛网更换方便、安装及维修简单等优点。
工作原理及结构特点
ZSG系列直线振动筛是利用振动电机或普通电机外拖动激振器,使筛体沿激振力方向作周期性往复振动物料在筛面上沿直线方向作抛物线运动,从而达到筛分目的。
ZSG系列直线振动筛由振动源、筛体、筛网、减振装置和底托组成,筛机侧板采用优质钢板制作而成,侧板与横梁、激振器底座采用高强度螺栓或环槽铆钉连接,结构合理,坚固耐用。







Customer case
客户案例
Relevant news
相关新闻
-
08-17
积极维护防汛救灾网络秩序倡议书近期,东北、华北、黄淮等地出现极端降雨,多地出现居民被困和人员伤亡情况,全国各地救援力量迅速集结,全力投入防汛救灾工作。在当前全国齐心聚力、携手救灾的特殊时期,... -
11-20
振动筛的大好场景!国内的振动筛行业可谓是风生水起,行业内一派火热景象。别的不说,就拿行业消息来讲:鞍重股份高性能大型振动筛入围国家科技技术发明奖;中联重科首台4GLS2530...
-
11-20
振动筛为什么能取代摇动筛?振动筛在行业初期也遇到过很多强有力的竞争对手,就像摇动筛,也风靡一时。今天,我们带你一起探讨一下,振动筛为什么取代摇动筛? 摇动筛是以曲柄连杆机构作为传动...
